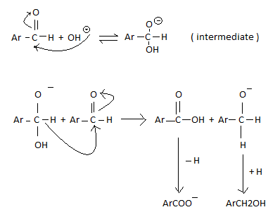
The cannizzaro reaction is a redox reaction. Two molecules ( aliphatic and aromatic aldehydes ) of an aldehyde are reacted to produce a alcohol and carboxylic acid in the presence of strong base.
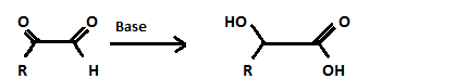
a - Keto aldehydes give the product of an intramolecular disproportionation in excellent yields.
Mechanism :
Nucleophilic
addition of OH- to aldehyde.
The Crossed cannizzaro reaction, uses formaldehyde as reducing agent.





No comments:
Post a Comment